Getaran adalah gerakan bolak-balik suatu benda melalui titik setimbang. Perhatikan gambar dibawah :
Dari gambar diatas, kita bisa liat bahwa satu getaran penuh dari ilustrasi bandul tersebut teridiri dari :
a. B-A-B-C-B
b. A-B-C-B-A
c. C-B-A-B-C
Semogakalian bisa ngerti ya, kalo gw jelasinnya kayak gitu. Kalo nggak ngerti ya dimengerti. Iya kan?
1. Simpangan dan Amplitudo Getaran
Simpangan adalah jarak beban ketitik setimbang.
Coba kalian perhatiin gambar pegas dibawah. Walaupun nggak mirip tapi anggap aja itu pegas. OK!
Dari gambar di atas, kita bisa liat kalo titik setimbangnya berada pada huruf "a". Ketika jarak beban ketitik setimbang 1 cm, kita katakan simpangan getaran 1 cm. Ketika jarak beban ketitik setimbang itu 3 cm, kita katakan simpangan getaran 3cm. Demikian seterusnya. Simpangan berubah tiap waktu karena benda mendekati atau menjauhi titik setimbang.
Sedangkan amplitudo adalah simpangan terbesar dari suatu getaran. Besaran amplitudo dilambangkan dengan huruf "A". Dari gambar diatas kita bisa liat kalo amplitudo dari pegas tersebut adalah jarak a-b atau jarak a-c.
2. Periode Getaran
Periode getaran adalah waktu yang diperlukan benda untuk melakukan suatu getaran. Periode getaran dilambangkan dengan huruf T. Untuk menentukan periode getaran kita dapat mengukur langsung waktu yang diperlukan untuk melakukan satu getaran penuh.
Namun, cara mengukur semacam ini seringkali menimbulkan kesalahan karena salah satu getaran biasanya berlangsung sangat singkat.
Oleh karena itu, biasanya kita mengukur waktu yang diperlukan benda untuk melakukan sejumlah getaran. Periode getaran dapat dihitung dari waktu yang tercatat dibagi jumlah getaran.
Untuk mempermudah, kita bisa gunakan persamaan berikut.
3. Frekuensi Getaran
Frekuensi getaran adalah banyaknya getaran yang dilakukan benda setiap detik. Frekuensi dilambangkan dengan huruf "f". Satuan frekuensi adalah getaran per sekon atau diberi istilah khusus, yaitu hertz disingkat Hz.
Untuk menentukan frekuensi pada suatu getaran, kita bisa gunakan persamaan berikut ini.
Dengan :
f = frekuensi getaran (Hz)
N = jumlah getaran
t = waktu untuk sekali getaran
B. GELOMBANG
Gelombang adalah getaran yang merambat.
Berdasarkan ada tidaknya medium perambatan, terdapat dua jenis gelombang yaitu :
a. Gelombang mekanik.
Gelombang mekanik adalah gelombang yang memerlukan medium untuk merambat. Contoh, gelombang tali, gelombang permukaan air dan gelombang bunyi.
b. Gelombang elektromagnetik
Gelombang elektromagnetik adalah gelombang yang merambat tanpa memerlukan medium. Contoh, gelombang cahaya.
Berdasarkan arah getar dan rambatnya, terdapat dua jenis gelombang, yaitu :
a. Gelombang longitudinal.
Gelombang yang arah getarnya sejajar dengan arah rambatnya. Contohnya adalah gelombang bunyi diudara.
Bentuk gelombang longitudinal :
Panjang satu gelombang untuk gelombang longitudinal terdiri dari satu rapatan dan satu regangan.
b. Gelombang transversal.
Gelombang yang arah getarnya tegak lurus dengan arah rambatnya. Contoh gelombang tali.
Panjang gelombang diberi simbol "λ" (dibaca lambda), adalah panjang satu gelombang yang terdiri dari satu bukit dan satu lembah geombang.
Bentuk gelombang transversal :
Panjang gelombang pada gambar diatas adalah jarak a-e, b-f, d-h, c-g, e-i dan g-k.
Sedangkan amplitudo gelombangnya adalah jarak b-b', d-d', f-f', h-h'dan j-j'.
Pada gambar tersebut terlihat bahwa gelombang transversal berbentuk bukit gelombang dan lembah gelombang yang merambat. Istilah-istilah yang berkaitan dengan gelombang transversal adalah sebagai berikut.
- simpangan : jarak suatu titik gelombang terhadap posisi setimbang.
- puncak gelombang : titik tertinggi pada gelombang
- dasar gelombang : titik terendah pada gelombang
- bukit gelombang : lengkungan yang berada diatas posisi setimbang
- lembah gelombang : lengkungan yang berada dibawah posisi setimbang
- amplitudo : jarak puncak gelombang atau dasar gelombang terhadap posisi setimbang.
1. Periode, Frekuensi dan Cepat Rambat Gelombang
a. Periode Gelombang
Gelombang juga memerlukan waktu dalam perambatannya. Selang waktu yang diperlukan untuk menempuh satu gelombang disebut periode. Periode disini sama artinya dengan selang waktu yang diperlukan untuk melakukan suatu getaran. Satuan periode adalah sekon.
Untuk menentukan periode suatu gelombang kita bisa pake persamaan berikut.
b. Frekuensi Gelombang
Frekuensi adalah gelombang yang terjadi dalam satu sekon. Satuan frekuensi adalah gelombang per sekon atau hertz (Hertz). Sama seperti getaran, frekuensi gelombang juga memiliki persamaan berikut.
c. Cepat Rambat Gelombang
Kecepatan gelombang sering disebut dengan cepat rambat gelombang yang diberi simbol "v".
Cepat rambat gelombang dapat ditentukan menggunakan persamaan berikut.
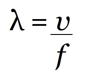
Sedangkan untuk menentukan panjang gelombang dapat digunakan persamaan berikut ini.
Supaya teman-teman bisa lebih memahami materi ini, video dapat di simak disini:
sumber:https://frontpecintaislam.blogspot.com/2017/04/pengertian-rumus-getaran-dan-gelombang_17.html

















Tidak ada komentar:
Posting Komentar